3.5Études de cas

Dans cette section, vous approfondirez vos connaissances quant aux systèmes agrisylvicoles. Nous présenterons quatre études de cas qui vous permettront d’en apprendre davantage sur la jachère forestière, la culture intercalaire et la culture pérenne ombragée en Afrique ainsi que la culture intercalaire en milieu tempéré.

3.5.1Le cas de la jachère forestière en Afrique australe (Zambie)

En agriculture, les avantages de la jachère sont très bien connus. On l’utilise pour enrayer la compétition (mauvaises herbes), travailler le sol mécaniquement, augmenter les réserves en eau et en azote du sol, stabiliser les sols, contrôler les maladies, etc. Selon les objectifs, on suggérera de mettre en place une jachère nue et travaillée ou une jachère enherbée et pâturée. Lisez ce texte de Sebillotte et al. (1993) sur les jachères en agriculture pour mieux situer la pratique.

Sebillotte, M., Allain, S., Doré, T., Meynar, J. M. 1993. La jachère et ses fonctions économiques et environnementales. Diagnostic actuel. Dossier de l’environnement de l’INRA, 27 : 125-129.

En agroforesterie, l’objectif de la jachère forestière est principalement de « reposer » le sol et d’augmenter ses réserves en carbone et en azote. En Afrique, l’utilisation de cette technique a connu une hausse fulgurante depuis une quinzaine d’années grâce aux efforts de l’ICRAF.

Le Sesbania sesban est l’une des espèces les plus utilisées en jachère forestière, pour plusieurs raisons. C’est une espèce indigène qui pousse très rapidement et produit beaucoup de biomasse. Cette litière est une source importante de carbone. L’espèce n’est pas très sujette au broutage par les différents élevages, car ses feuilles ont plus ou moins bon goût, et elle est résistante aux feux et aux sécheresses récurrentes. De plus, sa propagation se réalise facilement et à de faibles coûts par la production artisanale de semis à racines nues. Enfin, c’est une espèce qui forme aisément des nodulations pour fixer l’azote atmosphérique, ce qui lui confère la capacité d’enrichir le sol en azote (Kwesiga et al., 1999).

Nous avons précédemment discuté du fait que les arbres développent un système racinaire qui peut s’avérer complémentaire à celui d’une culture agricole. Même si le maïs (maize) peut développer un système racinaire jusqu’à une profondeur de un mètre, on voit dans la figure 28 que la profondeur du système racinaire de Sesbania sesban dépasse largement celle du maïs, atteignant 4 mètres. La jachère naturelle (natural fallow) composée d’espèces ligneuses (arbres et arbustes) a développé un système racinaire atteignant 2 mètres.

m3_image031

Figure 28. Profondeur d’enracinement de trois types de couverts en Zambie. Maize = maïs, Sesbania fallow = jachère de Sesbania sesban, Natural fallow = jachère naturelle.

Source : Mekonnen et al. (1997).

D’après la figure 29, les faibles valeurs en nitrate indiquent que les sols qui supportent le Sesbania sesban et la jachère naturelle ont une biodisponibilité en azote (c’est-à-dire les ions nitrate) plus faible que ceux qui supportent le maïs. Cela est attribuable à un prélèvement accru de l’azote par le système racinaire de systèmes productifs comme le Sesbania sesban et la jachère naturelle. Sur l’ensemble du profil de sol, il y a moins de biodisponibilité en azote en présence de Sesbania sesban et de la jachère naturelle qu’en présence de maïs.

m3_image032

Figure 29. Concentration de nitrate jusqu’à 4 mètres de profondeur sous les différents couverts en Zambie. Maize = maïs, Sesbania fallow = jachère de Sesbania sesban, Natural fallow = jachère naturelle.

Source : Mekonnen et al. (1997).

On note aussi des teneurs en eau similaires sur le premier mètre de sol entre les trois couverts (tableau 2). Toutefois, entre 2 et 4 mètres, les teneurs en eau sont plus faibles sous le Sesbania sesban que sous le maïs et la jachère naturelle. Cela s’explique par le système racinaire de Sesbania sesban qui est le seul à atteindre 2 mètres de profondeur.

Tableau 2. Différence de la teneur en eau entre les trois types de couverts en Zambie. Une valeur négative indique que le premier couvert a une valeur plus faible que le deuxième couvert.

Profondeur du sol (m)

Différence en eau (m3 m-3)

  Sesbania vs maïs Jachère naturelle vs maïs Sesbania vs jachère naturelle
0 à 0,5 0,018 0,020 -0,003
0,5 à 1,0 -0,008 0,005 -0,013
1,0 à 1,5 0,000 0,020 -0,020
1,5 à 2,0 0,020 0,028 -0,008
2,0 à 3,0 0,008 0,028 0,035
3,0 à 4,0 0,040 0,028 0,068

Source : Adapté de Mekonnen et al. (1997).

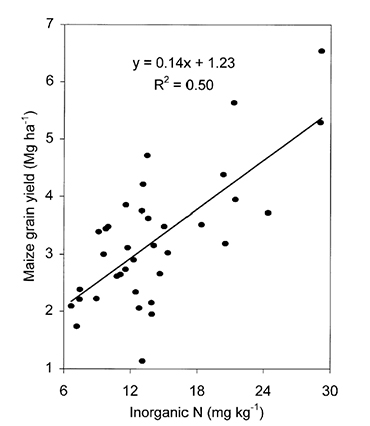
L’ion nitrate est très soluble et mobile. Il est peu retenu par le sol. En trop grande quantité (ex. par les fertilisants), l’excédent est lessivé et il ne peut donc pas être utilisé par les plantes. Ainsi, il y a moins de risques de perdre de l’azote par lessivage sous les jachères, particulièrement sous Sesbania sesban. À long terme, les bénéfices de ces deux types de jachère sont sans équivoque. Dans un contexte où la biomasse arborée est incorporée au sol par les pratiques culturales, la jachère permet une rétention et un recyclage beaucoup plus efficaces de l’azote comparativement à la monoculture de maïs. Étant donné qu’il y a généralement de fortes relations entre la quantité d’azote inorganique dans le sol et le rendement du maïs (figure 30), la conservation de l’azote du sol est grandement souhaitée par le producteur et c’est pour cette raison que la jachère arborée est souvent considérée, même si cela empêche la production agricole pendant un certain moment.

m3_image033

Figure 30. Relation entre l’azote inorganique du sol (Inorganic N) et le rendement en grains du maïs (Maize grain yield) dans l’est de la Zambie.

Source : Buresh et Tian (1998).

Dans cette région, le rendement des espèces d’arbres utilisées pour la jachère est élevé, garantissant ainsi des phases arborées relativement courtes de 6 à 18 mois. Parmi les espèces les plus populaires pour la jachère partout dans le monde, on compte plusieurs légumineuses, dont Sesbania sesban, bien sûr, mais aussi Gliridicia sepium, Leucaena leucocephala, Cajanus cajan et Tephrosia vogelii (figure 31).

m3_image036

Sesbania sesban

Source : https://www.feedipedia.org/node/253

Figure 31. Légumineuses populaires pour la jachère partout dans le monde.

3.5.2Le cas de la culture intercalaire en Afrique australe (Malawi)

La culture intercalaire est très fréquente partout en Afrique et plusieurs mélanges sont considérés par les petits producteurs. Nous avons déjà présenté plusieurs espèces d’arbres pouvant être mélangées au maïs, par exemple. Il n’est donc pas réaliste de couvrir l’ensemble des mélanges possibles dans ce cours. Toutefois, le cas du Gliricidia sepium et du maïs est très largement répandu et mérite une attention particulière.

Durant la saison sèche entre les mois de mai et novembre, on laisse le Gliricidia sepium se développer (figure 32). En raison de sa capacité à fixer l’azote atmosphérique, il enrichit le sol pendant la saison morte. Au début de la saison de croissance, le Gliricidia sepium est alors taillé tout près de la surface du sol pour permettre au maïs de se développer et de profiter du sol enrichi en azote entre décembre et avril (figure 32). La répartition spatiale se fait en rangées (figures 32 et 33).

m3_image039

Figure 32. Répartition spatiale et temporelle du système intercalé Gliricidia sepium-maïs en Afrique. (A) Saison de croissance (décembre à avril), (B) saison sèche (mai à novembre). Maize = maïs, Gliricidia = Gliricidia sepium.

Source : Akinnifesi et al. (2007).

m3_image040

Figure 33. Culture intercalaire de Gliricidia sepium-maïs au sud du Malawi.

Source : https://climatecolab.org/plans/-/plans/contests/2012/agriculture-and-forestry/c/proposal/1304331

Dans une expérience testant différents traitements de fertilisation avec l’azote et de mélange avec le Gliricidia sepium, Makumba et al. (2006) ont observé des hausses importantes des rendements du maïs (figure 34). L’effet du Gliricidia sepium s’est avéré similaire à celui de la fertilisation dans une monoculture. Dans les régions africaines humides et subhumides, les succès de la culture intercalaire Gliricidia sepium-maïs sont plutôt fréquents. Des succès semblables avec le maïs sont également observables en mélange avec le Leucaena leucocephala et d’autres espèces de légumineuses.

m3_image041

Figure 34. Les rendements du maïs (Maize yield, Mg ha-1) au cours de dix ans au Malawi en monoculture (Sm), dans des parcelles fertilisées avec l’azote (48 kg N ha-1 an-1) et en présence de Gliricidia sepium (Gm). Le rendement du maïs entre les traitements augmente de la façon suivante : (1) monoculture de maïs sans fertilisation (Sm + 0 kg N), (2) monoculture de maïs avec fertilisation (Sm + 48 kg N) et culture intercalaire sans fertilisation (Gm + 0 kg N), et (3) culture intercalaire fertilisée (Gm + 48 kg N).

Source :Makumba et al. (2006).

Toutefois, le succès des cultures intercalaires en Afrique n’est pas partout le même. Notamment, l’étude de Rao et al. (1998) suggère qu’il y a des variations importantes selon les régimes hydriques régionaux (figure 35). Dans les régions humides et subhumides, les bénéfices de jumeler les arbres aux cultures viennent du fait que l’on améliore la qualité des sols. Une hausse de la disponibilité en azote se traduit directement par une hausse des rendements du maïs, par exemple. Les hausses de rendement du maïs sont d’ailleurs généralement plus importantes pour les sites qui sont caractérisés par des sols ayant un faible niveau de fertilité. Au contraire, les bénéfices des cultures intercalaires sont rares dans les régions semi-arides parce que les effets positifs sur les sols sont masqués par le fait que les arbres disposés en rangées sont en trop grande compétition pour l’eau avec les cultures. Cette influence va au-delà de la zone d’influence normale (c’est-à-dire le rayon de la canopée), impactant ainsi négativement le rendement des cultures sur la surface totale exploitée. On peut voir à la figure 35 la variation des bénéfices liés aux cultures intercalaires le long d’un gradient de disponibilité en eau en Afrique (Rao et al., 1998). Il est évident que les pertes de rendement des cultures liées aux systèmes intercalaires se trouvent principalement là où les précipitations sont moins abondantes (<1500 mm an-1).

m3_image042

Figure 35. Différences exprimées en pourcentage entre les rendements de monocultures céréalières (cercles) et non céréalières (triangles) et celles de cultures intercalaires en Afrique. Une valeur positive sur l’axe des y indique un gain de la culture dans un système intercalaire, alors qu’une valeur négative indique une perte. L’axe des x représente la quantité de pluie qui tombe au sol (Rainfall, mm yr-1).

Source : Rao et al. (1998).

Enfin, même dans les régions humides et subhumides de l’Afrique où il y a des bénéfices clairs d’utiliser la culture intercalaire, certains praticiens critiquent l’approche parce qu’elle s’avère difficile d’un point de vue opérationnel. En effet, compte tenu de la croissance accrue de Gliricidia sepium, le taillis de celui-ci tout juste avant la mise en terre des semences demande beaucoup de travail, ce qui se traduit souvent par l’embauche de travailleurs et des dépenses additionnelles. Il revient alors aux petits producteurs de peser les pour et les contre de la pratique. Dans l’ensemble, elle demeure très populaire.

3.5.3Le cas de la culture intercalaire en milieu tempéré

La culture intercalaire est particulièrement présente en Afrique et en milieu tropical, mais elle s’est aussi développée dans les milieux tempérés comme le Québec. Dans ce contexte, les objectifs visés par l’établissement de cultures intercalaires ne sont pas nécessairement les mêmes selon qu’il s’agit de l’Afrique ou du Québec. En Afrique, on vise prioritairement la hausse du rendement des cultures par l’amélioration de la qualité des sols. Au Québec ou ailleurs en milieu tempéré, le rendement des cultures est souvent réduit du fait d’une configuration intercalée. De ce fait, les producteurs qui décident de mettre en place un tel système visent plutôt la diversification des cultures. Lisez attentivement ce texte de Rivest et al. (2010) sur les possibilités de pratiquer la culture intercalaire dans l’est du Canada.

Rivest, D., Olivier, A., Gordon, A.M. 2010. Les systèmes de cultures intercalaires avec arbres feuillus : Jumeler production de bois et production agricole tout en protégeant l’environnement. Direction générale des services agroenvironnementaux, Agriculture et Agroalimentaire Canada, 12 pages

De façon complémentaire, vous pouvez lire Rivest et Olivier (2006), lesquels discutent en profondeur des bénéfices et des désavantages de la culture intercalaire en milieux tempérés.

Rivest, D., Olivier, A. 2007. Cultures intercalaires avec arbres feuillus : quel potentiel pour le Québec? The Forestry Chronicles, 84(3) : 526-538. Pour y accéder, consultez la réserve du cours à la bibliothèque de l’Université TÉLUQ

3.5.4Le cas de la culture pérenne ombragée (cacaoyers et bananiers) en Côte d’Ivoire

Le cacaoyer est traditionnellement cultivé en Côte d’Ivoire depuis la fin du 19e siècle. Le pays est le plus gros producteur de cacao au monde. Pendant longtemps, les petits producteurs ont pratiqué la culture itinérante, ce qui a conduit à une déforestation considérable et une perte de biodiversité végétale et animale (Adou Yao et al., 2016). De plus, en raison de la sensibilité du cacaoyer à une trop grande luminosité (il s’agit d’une espèce de sous-bois de la forêt amazonienne), peu de producteurs obtenaient des rendements satisfaisants avec cette méthode. L’indisponibilité de fertilisants ne garantissait pas non plus le rendement des plantations à plus long terme N’Goran, en ligne).

Pour remédier au problème de productivité, la culture du cacaoyer en compagnie d’autres espèces arborées a été mise en place par le savoir-faire local, transmis de génération en génération. Cette technique a l’avantage de fournir de l’ombrage pour les jeunes plants de cacao, de maintenir un microclimat (ex. réduire les écarts de température de l’air) et un environnement nutritionnel propice à la croissance du cacaoyer, et de conserver une biodiversité pouvant rendre des services (ex. sources de nourritures, plantes médicinales, etc.) (Bentley et al., 2004) .

Pour y arriver, un ombrage temporaire ou permanent est créé de trois façons. La première façon consiste à couper le sous-bois sous les arbres de la forêt et de planter et cultiver les cacaoyers à ces endroits (N’Goran, en ligne; Adou Yao et al., 2016). Quelques arbres sont aussi coupés pour éviter une compétition trop grande avec les cacaoyers pour l’eau (spécialement dans les régions moins arrosées) ou même la lumière (il n’est pas toujours facile de trouver le juste milieu entre trop ou pas assez de lumière disponible). Les producteurs procèdent aussi à la coupe de certains arbres pour éviter qu’ils portent des insectes ou des maladies pouvant être nuisibles aux cacaoyers (Bentley et al., 2004). La figure 36 montre bien à quoi peut ressembler le système.

m3_image043

Figure 36. Cacaoyer sous ombrage dans une forêt naturelle aménagée en Côte d’Ivoire.

Source : Adou Yao et al. (2016).

Certains cultivars performent mieux que d’autres sous un tel système (ex. type Amelonado). Plusieurs espèces végétales de la forêt sont compatibles avec la cacaoculture (Adou Yao et al., 2016). Les espèces de grands arbres comme Milicia exelsa sont généralement reconnues comme étant favorables à la culture du cacaoyer, car, en plus d’apporter de l’ombrage, elles maintiennent un minimum d’humidité dans le sol et le sous-bois, ce qui s’avère important pour le cacaoyer. Ces espèces fertilisent aussi le sol tel qu’il a été vu précédemment dans le module. Certains producteurs plantent même les cacaoyers en présence d’espèces arborées fixatrices d’azote pour maximiser les rendements (Bentley et al., 2004). Au contraire, certaines espèces, comme Nesogordonia papaverifera, assécheraient le sol et retarderaient ainsi la croissance du cacaoyer (Adou Yao et al., 2016). La forêt serait aussi une barrière physique efficace contre les insectes et les pathogènes, protégeant ainsi les cacaoyers des ravages et des maladies (N’Goran, en ligne). Des études scientifiques plus poussées sont néanmoins nécessaires pour mieux comprendre l’ensemble des processus écologiques qui régissent la réponse de croissance du cacaoyer en forêt naturelle.

La deuxième façon consiste à planter le cacaoyer sous la canopée d’une plantation, souvent le bananier (N’Goran, en ligne; Bentley et al., 2004). Selon un arrangement en rangées peu dense, les bananiers fournissent suffisamment d’ombrage pour permettre aux cacaoyers de croître correctement (figure 37). Il faut toutefois dire que les cacaoyers utilisés dans un tel mode de production sont pour la plupart des cultivars qui ont été développés pour résister à une plus grande quantité de lumière (programme d’extension du gouvernement de la Côte d’Ivoire qui a été mis en place à partir des années 70) (Adou Yao et al., 2016). Du point de vue des bénéfices écologiques, il s’agit d’un système agroforestier qui n’a nécessairement pas les mêmes bénéfices que le système présenté précédemment en forêt naturelle, mais il a au moins le mérite de conserver un minimum de diversité dans la structure de la canopée. Cette complexité augmente nécessairement le nombre d’habitats pour diverses espèces, notamment la faune aviaire. On voit aussi une tendance des producteurs de cacao en Côte d’Ivoire à laisser les espèces végétales indigènes s’établir dans les plantations, car la croyance populaire est que les systèmes plus diversifiés sont plus résilients aux différents stress (Adou Yao et al., 2016). La fertilisation est normalement requise pour maximiser le rendement des cacaoyers, puisqu’il n’y a aucune évidence scientifique d’une fertilisation naturelle importante des sols par les bananiers. Dans plusieurs productions, on utilise aussi des phytocides pour contrôler les mauvaises herbes. La diversification des cultures est un intérêt majeur pour ce système par les producteurs (Bentley et al., 2004). Cette versatilité diminue les risques d’échec de récolte lorsqu’une année s’avère (climatiquement) difficile pour le producteur.

m3_image044

Figure 37. Jeune plantation de cacaoyers sous ombrage de bananiers. Au stade juvénile de croissance, le cacaoyer d’ombrage léger

Source : https://peaceboat.org/english/?page=view&nr=324&type=20&menu=64

La troisième façon consiste à cultiver des cultivars de cacaoyers en plein soleil. Cette pratique est aujourd’hui la plus commune en Côte d’Ivoire (environ 70 %) étant donné le programme d’extension du pays qui l’a beaucoup favorisée (Adou Yao et al., 2016). Dans ce sens, plusieurs cultivars ont été développés pour permettre une pratique culturale sans ombrage. C’est cette pratique qui a, bien sûr, mené à la déforestation et à une perte de biodiversité dans les forêts du pays. Dans un premier temps, les semis sont produits sous ombrage en pépinière (figure 38 – photo 1). Ils sont ensuite plantés dans un sol qui a pu être travaillé mécaniquement (hersé) selon la disponibilité de l’équipement (figure 38 – photo 2). Les semis sont ensuite protégés par de petits abris fabriqués avec des feuilles de palmier (figure 38 – photos 3 et 4). Ces abris sont utilisés aux jeunes stades lorsque les semis sont encore sensibles à un éclairement total. Après deux ou trois années, les abris sont retirés et les plants plus matures se développent alors en plein soleil.

m3_image045

photo 1

m3_image046

photo 2

m3_image047

photo 3

m3_image048

photo 4

Figure 38. Étapes de production juvénile du cacaoyer, de la production du semis en pépinière (photo 1) jusqu’à la mise en terre (photo 2) et la fabrication d’un abri avec une feuille de palmier (photos 3 et 4). Le plant est protégé du soleil par la feuille de palmier, car il reste sensible à l’ensoleillement total jusqu’à 2 ou 3 ans.

Source : https://www.afd.be/~plant-ch/cacaoyer/techniqu/misecacao.htm

C’est une approche qui requiert la planification d’un programme de fertilisation et d’arrosage contre les mauvaises herbes pour assurer un rendement soutenu, ce qui engendre des coûts (N’Goran, en ligne). Dans ce sens, les rendements doivent être élevés pour que les producteurs en tirent des profits. Cette pratique se rapproche grandement de l’agriculture classique, présentant ainsi peu ou pas de bénéfices environnementaux. Par manque de terrains forestiers disponibles, certains producteurs choisissent même d’installer leurs cacaocultures sur d’anciennes jachères forestières, de façon à démarrer la production sur un sol suffisamment riche en nutriments (N’Goran, en ligne). Dans les zones moins propices à la cacaoculture (moins arrosées), on observe que les plantations en plein soleil ou sous ombrage artificiel ont moins de succès qu’en forêt aménagée (Adou Yao et al., 2016). C’est dans ce sens qu’on s’interroge de plus en plus sur la viabilité et la rentabilité des pratiques agricoles plus intensives, spécialement dans un contexte de réchauffement du climat et de stress hydrique (Dufumier, 2016).

Lisez le texte de référence du module 3 pour répondre aux questions du travail noté 3. Finalisez également l’examen de mi-parcours. C’est cette semaine que vous devez le remettre.

Répondez aux questions dans le document que vous avez enregistré sur votre poste de travail. Si vous ne l’aviez pas déjà fait, téléchargez l’examen de mi-parcours en suivant ce lien :